Департамент освіти та науки Івано-Франківської міської ради
Toggle navigation
Toggle navigation
Офіційна сторінка
Структура
Положення
План роботи
Звіт роботи
Мережа закладів освіти
Прийом та звернення громадян
Вакансії
Публічна інформація
Статути закладів освіти
Відкриті дані
Державні закупівлі. Тендери
Паспорти бюджетних програм. Звіти про їх виконання
Фінансова та бюджетна звітність. Звіти про обіг коштів
Кошториси закладів освіти 2023 рік
Кошториси закладів освіти 2024 рік
Накази з господарських питань
Соціально-психологічна служба
Нормативно-правова документація
Соціально-психологічний супровід освітнього процесу
Методичні ресурси
Кроки допомоги при ПТСР
Логопедична служба
Нормативно-правові документи
Логопеду для корекційної роботи
Логопедичний супровід
Програми з корекційно-розвиткової роботи
Поради батькам
Календар подій
Анонс
Дистанційна підтримка освітнього процесу в умовах воєнного стану
Найпопулярніші освітні платформи для організації дистанційного навчання
Виховна робота
Національно-патріотичне виховання
Виховна робота
Накази про підсумки
Захист України
Учнівське самоврядування
Накази про конкурси
Правовиховна робота
Нормативно-правові документи
Громадське самоврядування
Законодавство
Оздоровлення та відпочинок дітей
Літо 2023
Літо 2024
Літо 2025
Відпочинок у Лімниці
Закон України "Про оздоровлення та відпочинок дітей"
Замовлення підручників
8 клас
5 клас
9 клас
2, 3, 6, 7, 11 класи
1 клас
5 та 6 класи
10 клас
Замовлення підручників 2025
Харчування
Загальноміські заходи
Організація харчування у закладах освіти міста
Інформаційна кампанія щодо здорового шкільного харчування
Інформаційна кампанія "Їж менше солі"
Світлофор харчування
Тиждень "Здорове харчування - факти та досвід"
Фотофлешмоб "Що їдять діти у шкільній їдальні?"
Шкільна їжа: які страви обирають діти?
Відеомарафон "Кожна дитина має право на здорове, поживне, смачне харчування у шкільній їдальні"
Відеомарафон "Страви шкільної їдальні: їх цінність для здоров'я"
"Ми свідомо обираємо здорове харчування: приєднуйся до нас"
Методичні рекомендації щодо облаштування харчоблоків у ЗЗСО
Портал «ЗнаЇмо» – «знаємо, що їмо»
Готуємо страви за оновленим меню
Нова українська школа
Інклюзивне навчання
НУШ 1-2 класи
НУШ 3-4 класи
НУШ Освітній простір
Професійний стандарт вчителя
Сертифікація вчителів
НУШ 5-9 класи
Нормативна база НУШ
Концепція НУШ
Міжнародна співпраця
Міжнародна співпраця закладів освіти
Протидія булінгу
Накази
Нормативно-правова база щодо протидії булінгу
Телефони гарячих ліній, громадських та державних організацій та доступу до їх послуг
Олімпіади та конкурси
Протоколи олімпіад і конкурсів
Протоколи результатів ІІ (обласного) етапу Всеукраїнських учнівських олімпіад
Положення про учнівський олімпіадний та турнірний рух
Конкурсні відбори на посади керівників та педагогічних працівників
Відеофіксація конкурсів на посади керівників
Протоколи конкурсів на посади педагогічних працівників
Типове положення про конкурс на посаду керівника державного, комунального закладу дошкільної освіти
Вакансії 2025
Конкурсний відбір
Вакансії станом на жовтень 2025 р.
Вакансії станом на вересень 2025 р.
Вакансії станом на серпень 2025 р.
Вакансії станом на травень 2025 р.
Вакансії станом на лютий 2025 р.
Вакансії станом на січень 2024 р.
Вакансії станом на вересень 2023 р.
Вакансії станом на липень 2023 р.
Атестація
Атестація 2024
Атестація 2025
Атестація 2026
Премія міського голови в галузі освіти Івано-Франківської міської територіальної громади
2025 рік
Запис у гуртки ЗПО
Інформація про заклади позашкільної освіти
Реєстрація у ЗДО
Реєстрація у ЗЗСО
Реєстрація у ЗПО
Результати ІІ етапу вибору електронних версій оригінал-макетів посібників для 1 класу (2023-2024 н.р.)
Відеомарафон "Страви шкільної їдальні: їх цінність для здоров'я"
Наказ "Про підсумки атестації педагогічних працівників у 2024 році на ІІ рівні атестаційної комісії"
Квітень 2025 р.
Мережа літніх шкіл, які працюватимуть на базі закладів освіти
Про роботу "Літніх шкіл" у закладах освіти міста в період червень-серпень 2025 року
Положення про міську педагогічну премію ім. Богдана Ступарика
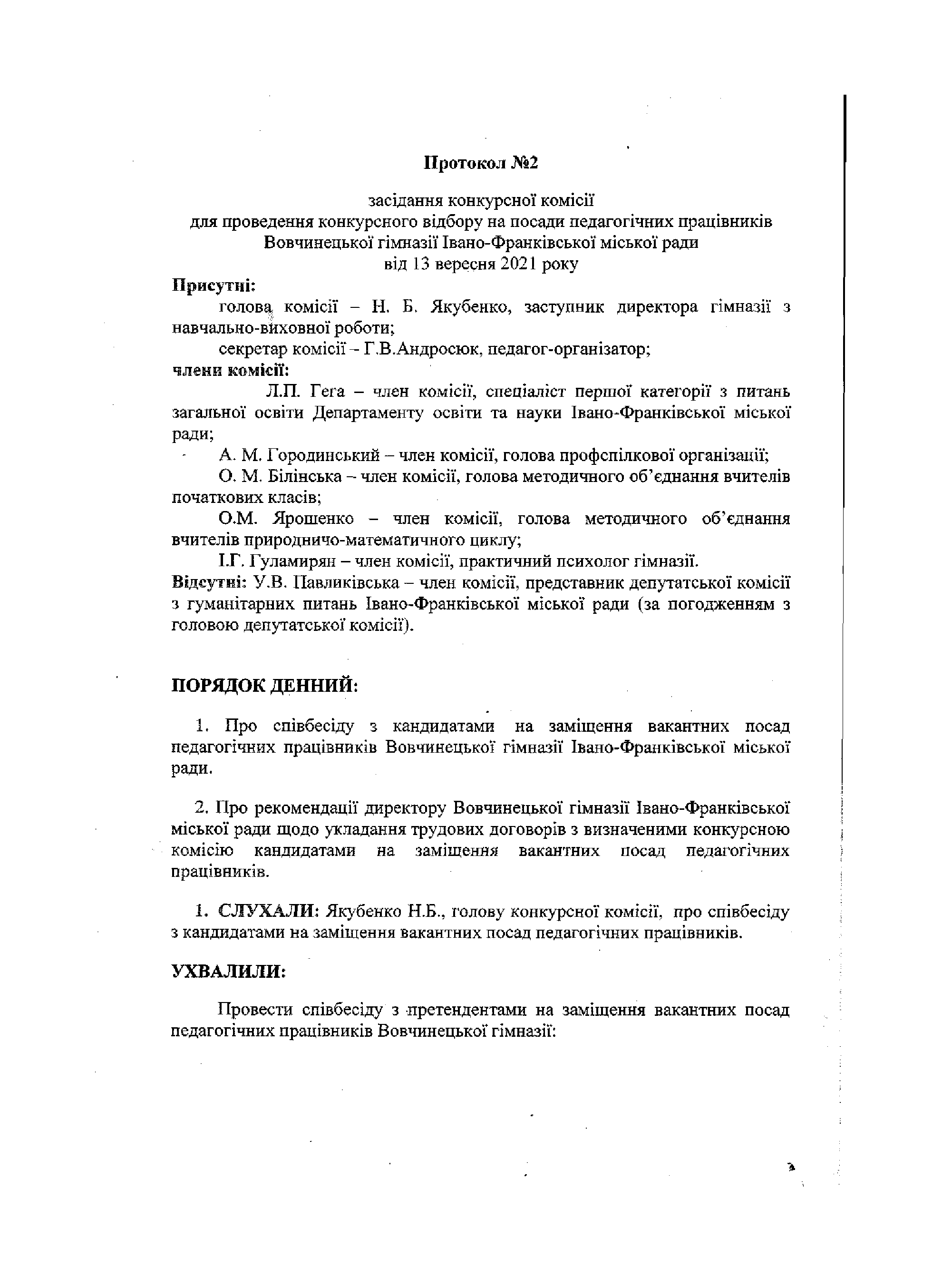
Засідання конкурсної комісії | Вовчинецька гімназія
Новини
2021-09-21 10:19
1327